Placement Test TBAT BIO 2024
Question 1

Given:
The sign - indicates no reaction occurs.
The sign + indicates a reaction occurs, with greater number of + signs showing greater level of reaction.
Which conclusion can be made from the results provided?
Question 2

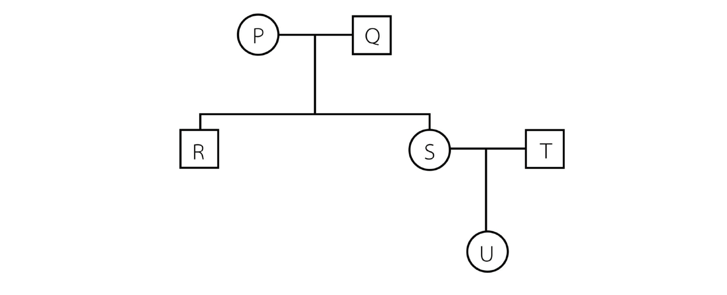
Note: The symbol ? represents a piece missing data.
Based on the results, which statement is CORRECT?
Question 3
Based on the results, if the artificial cell membrane is partially permeable, which statement is correct?
Question 4
Question 5
1 This process is one of the asexual reproductions.
2 The newly born individual will have a double set of chromosomes.
3 This reproduction requires both meiosis and mitosis.
Which statement correctly describes the fungi reproduction?
Question 6
Question 7
What is the minimum number of those that must be heterozygous in each of the conditions?

|
Only U shows a recessive condition |
Only R and U show a recessive condition |
|
1 |
2 |
|
Only U shows a recessive condition |
Only R and U show a recessive condition |
|
2 |
2 |
|
Only U shows a recessive condition |
Only R and U show a recessive condition |
|
2 |
3 |
|
Only U shows a recessive condition |
Only R and U show a recessive condition |
|
3 |
3 |
|
Only U shows a recessive condition |
Only R and U show a recessive condition |
|
3 |
4 |
Question 8
The brown fur trait is controlled by the allele C.
The Himalayan fur trait is controlled by the allele Ch.
The chinchilla fur trait is controlled by the allele Cch.
The albino trait is controlled by the allele c.
When purebred rabbits of each trait are crossed, the resulting offspring have the traits as shown in the table:

Which statement correctly describes the dominance of alleles controlling the fur color of rabbits?
Question 9
The diagram shows the general procedure for genetic engineering.

Which row is correct?
|
W |
X |
Y |
Z |
|
gene |
restriction endonuclease |
restriction endonuclease |
ligase |
|
W |
X |
Y |
Z |
|
gene |
ligase |
restriction endonuclease |
restriction endonuclease |
|
W |
X |
Y |
Z |
|
chromosome |
restriction endonuclease |
ligase |
ligase |
|
W |
X |
Y |
Z |
|
chromosome |
ligase |
ligase |
restriction endonuclease |
|
W |
X |
Y |
Z |
|
chromosome |
restriction endonuclease |
restriction endonuclease |
ligase |
Question 10
Which of the following events cannot lead to the emergence of a new species capable of further evolution?
Question 11

Question 12
Question 13
Question 14
Question 15
Question 16

Which row correctly identifies the type of plants and explains the phenomenon affecting the net CO2 fixation rate?
|
Plant X |
Plant Y |
Phenomenon occurring in plants |
|
Rice |
Sugarcane |
At 50 ppm CO2 in the air, plant X releases CO2 from cellular respiration in a lower amount than CO2 fixed by photosynthesis. |
|
Plant X |
Plant Y |
Phenomenon occurring in plants |
|
Rice |
Sugarcane |
At 250 ppm CO2 in the air, plant X experiences more photorespiration than Plant Y does. |
|
Plant X |
Plant Y |
Phenomenon occurring in plants |
|
Rice |
Sugarcane |
At 650 ppm CO2 in the air, plant X fixes carbon twice, resulting in a higher net CO2 fixation rate than plant Y. |
|
Plant X |
Plant Y |
Phenomenon occurring in plants |
|
Rice |
Sugarcane |
At 750 ppm CO2 in the air, plant Y has a lower CO2 fixation rate than plant X does. |
|
Plant X |
Plant Y |
Phenomenon occurring in plants |
|
Rice |
Sugarcane |
At 1,000 ppm CO2 in the air, plant Y releases CO2 from cellular respiration in an amount equal to CO2 fixed by photosynthesis. |
Question 17
Question 18
1 The mixture + amylase
2 The mixture + protease
3 The mixture + lipase
Question 19
Based on the data, which statement is correct?
Question 20
The carbon dioxide concentrations in the air leaving the chamber are shown in the graph.

Which of the following statements is/are correct?
Question 21
Based on the table, which choice correctly summarizes all the data for a certain organism?
Question 22
Question 23
Question 24

|
Biceps |
Triceps |
Flexors |
Extensors |
|
Contracted |
Relaxed |
Contracted |
Relaxed |
|
Biceps |
Triceps |
Flexors |
Extensors |
|
Contracted |
Relaxed |
Relaxed |
Contracted |
|
Biceps |
Triceps |
Flexors |
Extensors |
|
Relaxed |
Contracted |
Relaxed |
Contracted |
|
Biceps |
Triceps |
Flexors |
Extensors |
|
Relaxed |
Contracted |
Contracted |
Relaxed |
|
Biceps |
Triceps |
Flexors |
Extensors |
|
Contracted |
Contracted |
Contracted |
Relaxed |
Question 25

Based on the diagram, evaluate the following statements:
- During Stage A, a meiosis occurs rapidly in zygote.
- During Stage B, the blastula cells migrate and arrange into three layers of embryo cells.
- During Stage C, the three embryonic cell layers develop into organs, with the endoderm layer forming the brain and spinal cord.
- During Stage D, the tadpole transforms their appearance into mature frog, a process known as organogenesis.
Which statement is correct?
Question 26
Note: ? represents the missing data
According to blood donation and reception guidelines, considering antigens and antibodies in the ABO system, which individuals listed in the table can safely donate blood to someone with type B blood without risk?
Question 27
- blood
- saliva
- semen
- tear fluid
Which body fluids could transmit HIV?