Examen sper

1. Imaginea reprezinta in taxonomia lui Flynn un model de tip:
A. MISD
B. MIMD
C. SIMD
D. SISD

2. Imaginea reprezinta in taxonomia lui Flynn un model de tip:
A. MISD
B. MIMD
C. SIMD
D. SISD
3. Ce reprezinta problema de tip Parallel slowdown intr-o solutie paralela?
A. Executia pe unele core-uri este mai lenta decat pe altele
B. Procesul din solutie, care este paralelizat, este sub 30%
C. Paralelizarea solutiei secventiale conduce la cresterea timpului de executie datorita efortului necesar crearii, executiei si sincronizarii thread-urilor
D. Timpul necesar desvoltarii solutiei paralele este mai mic decat cel necesar implementarii variantei secventiale
E. Distributia efortului de procesare pe thread-uri nu este echilibrat

4. Intr-o regiune OpenMP paralela, o variabila definita in interiorul acesteia este implicit pentru fiecare thread ______?
A. Nici unul dintre raspunsuri nu este corect
B. Partajata
C. Loco
D. Globala
E. Locala

5. Pentru urmatoare secventa (corecta sintactic) implementata paralel pe un procesor Intel Core i7-4770K Haswell 3.5GHz Quad-Core, 8 MB Cache, care este problema?
A. Race Condition: Ambele thread-uri partajeaza aceleasi variabile si rezultatul nu va fi corect
B. Nu exista nicio problema care sa afecteze executia si performanta solutiei
C. Cache coherence: Performanta este afectata de sincronizarea memoriei cache alocata celor 2 procesoare/coreuri
D. Mutual exclusion – Aplicatia ajunge intr-un deadlock deoarece cele 2 thread-uri se vor bloca reciproc
E. Load balancing: Unul dintre thread-uri executa mai multe iteratii decat celalalt
6. Care dintre urmatoarele concepte NU reprezinta un pas/o etapa in analiza si implementarea unei solutii paralele
A. Analiza problemei
B. Toate conceptele enumerate reprezinta pasi in dezvoltarea unei solutii paralele
C. Alocarea task-urilor pe thread-ur
D. Descompunerea problemei in task-uri
E. Sincronizarea thread-urilor si optimizarea costurilor comunicarii dintre acestea

7. Pentru secventa urmatoare, indicati ce tip de schedule veti folosi astfel incat performanta executiei solutiei paralele sa nu fie afectata prin realizarea unor operatii suplimentare?
A. Primary
B. Progressive
C. Static
D. Chunk
E. Dynamic
8. Daca se considera: N – numarul de iteratii P – numarul de procesoare/thread-uri Atunci, dimensiunea implicita pentru un chunk intr-o structura OpenMP de tip parallel for este?
A. P/N
B. N/P
C. N
D. P
E. Se determina cu formula lui Amdahl
F. Pentru static numarul este determinat la executie si variaza
9. Dintre urmatoarele caracteristici, care NU este specifica task-urilor paralele ce sunt rulate pe o platforma de tip SMP – Symmetric Multiprocessing?
A. Neordonate
B. Fara partajare de resurse
C. Cu acces neuniform la memorie
D. Cu partajare de resurse
E. Independente

10. Imaginea reprezinta in taxonomia lui Flynn un model de tip:
A. Imaginea nu reprezinta o categorie din taxonomia lui Flynn
B. MISD
C. MIMD
D. SIMD
E. SISD

11. In graficul aciclic orientat din figura data, care sectiuni pot fi paralelizate cu usurinta fara a creste semnificativ costul orchestrarii? (fiecare nod poate reprezenta o functie/rutina)
A. Zonele A, B, C, D
B. Zonele A, B
C. Zonele A, B, C
D. Zonele A, B, D
E. Doar zona A

12. Considerand secventa (o secventa psudocod ce este corecta) din imaginea data indicati ce afirmatie este adevarata.
A. Ambele bucle (atat pentru I si j) pot fi paralelizate
B. Doar bucla interioara care urmareste iteratiile lui j poate fi paralelizata
C. Secventa nu poate fi paralelizata
D. Doar bucla exterioara care urmareste iteratiile lui I poate fi paralelizata

Pentru secventa din imaginea data, indicati care este conditia necesara pentru a nu avea probleme de tip Race condition?
A. Numarul de thread-uri trebuie sa fie minim 2
B. Daca nu exista doua valori diferita ale lui I pentru care functieF() va genera acelasi rezultat (daca i1<>i2 atunci functieF(i1) <> functie F(i2))
C. Secventa va genera rezultate gresite indiferent de implementarea functieiF()
D. Nu Exista probleme de tip Race condition (indiferen de implementarea functieiF()

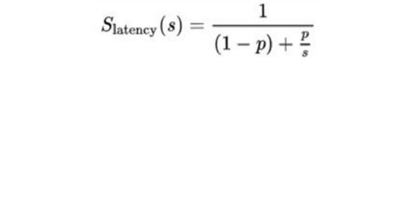
14. Daca operatiile dintr-un cod sunt paralele in proportie de 90%, care este factorl de crestere (aproximatie intreaga folosind legea lui Amdahl) al vitezei de procesare pe o masina paralela cu 9 procesoare?
A. 90x
B. 9x
C. 5x
D. 20x
E. Nu se poate folosi legea lui Amdahl pentru a afla raspunsul
F. Viteza de procesare va ramane constanta indiferent de numarul de procesoare
G. 2x

15. Daca se considera 3 vectori cu valori X, Y, Z si urmatoarea secventa (pseudocod) care se doreste a fi paralelizata
A. Probleme de sincronizare a thread-urilor paralele
B. Probleme de tip “Race condition”
C. Secventa poate fi rulata fara probleme in parale
D. Secventa nu poate fi paralelizata deoarece fiecare iteratie depinde recursiv de iteratiile anterioare
E. Probleme de tip “loop dependencies”

16. In OpenMP acoladele , {si}, care definesc inceputul unui bloc de cod paralel sunt definite pe o linie noua, dupa directia OpenMP, sau pot fi definite pe aceeasi linie?
A. Pe linia urmatoare pentru ca daca compilatorul nu recunoaste directiva OpenMP atunci poate continua cu urmatoarea linie fara oo eroare de sintaxa si interpreteaza codul drept cod secvential
B. Nu este nevoie sa plasati acolada pe urmaoarea linie. Poate fi pe aceeasi linie indiferent de compilator
C. Pe o linie noua doar pentru compilatorul de C/C++ din Visual Studio. In Linux (gcc) merge in ambele moduri
D. Nici nua dintre afiramtii nu este corecta. Situatia este mult mai complexa.

17. Ce este gresit in urmatoarea secventa ce foloseste directive OpenMP?
A. Va genera un deadlock
B. Nu este nicio problema
C. Nu exista directiva de tip critical
D. Nu exista directiva de tip barrier
E. Directiva de tip barrier nu poate fi folosita in interiorul unei directive #pragma omp
{"name":"Examen sper", "url":"https://www.quiz-maker.com/QPREVIEW","txt":"1. Imaginea reprezinta in taxonomia lui Flynn un model de tip:, 2. Imaginea reprezinta in taxonomia lui Flynn un model de tip:, 3. Ce reprezinta problema de tip Parallel slowdown intr-o solutie paralela?","img":"https://www.quiz-maker.com/3012/CDN/98-4819392/1.png?sz=1200-00000000000912505300"}
More Quizzes
MNR Ultimate River Quiz
1160
Which Legancia character are you?
10522
¿Qué tipo de buddy eres?
420
630
Free FBLA Marketing Practice Test
201025325
How Well Do You Know the Believe In Me Cast? Take the!
201060725
Free Hyperbolas Part 1
201025554
What Movie Should I Watch? to Find Your Perfect Film
201023854
Food Marketing
15827044
Free Customer Experience Team Knowledge
201021620
Take Our Spirit Animal to Reveal Your True Animal
201027314
Test Your Laced the Movie Knowledge - Free Challenge
201037725