[Placement]EP_Numbers,Exponents,Decimals,and Fractions

Name:
E-mail:
Phone:
School:
Grade:
Math Test - EP: Numbers, Exponent, Decimals and Fractions
50 Minutes, 20 Questions
____________________________________________________
 
Questions 1 - 4 : Integer
Questions 5 - 10 : Exponent
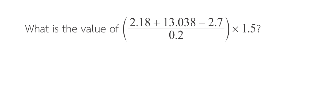
Questions 11 - 15 : Decimal
Questions 16 - 20 : Fraction
 
 
Directions:
For all questions, solve each problem, choose the best answer from the choices provided
or enter your answer in the text box.
 
 
Notes:
1. The use of calculator is NOT permitted.
2. If the answer is in root, typing "root" in the text box. ex. root6, root21
Math Test - EP: Numbers, Exponent, Decimals and Fractions
50 Minutes, 20 Questions
____________________________________________________
 
Questions 1 - 4 : Integer
Questions 5 - 10 : Exponent
Questions 11 - 15 : Decimal
Questions 16 - 20 : Fraction
 
 
Directions:
For all questions, solve each problem, choose the best answer from the choices provided
or enter your answer in the text box.
 
 
Notes:
1. The use of calculator is NOT permitted.
2. If the answer is in root, typing "root" in the text box. ex. root6, root21
A
B
C
D
A
B
C
D
A
B
C
D
A
B
C
D
A
B
C
D
A
B
C
D
A
B
C
D
A
B
C
D
A
B
C
D
A
B
C
D
{"name":"[Placement]EP_Numbers,Exponents,Decimals,and Fractions", "url":"https://www.quiz-maker.com/QAI365V6E","txt":"Name:, E-mail:, Phone:","img":"https://www.quiz-maker.com/3012/images/ogquiz.png"}