มแฃแ แแแแฃแแ แกแขแแขแแกแขแแแ II แแแ แแแแขแ

Legal Statistics II Quiz
Test your knowledge on legal statistics with our comprehensive quiz designed specifically for law students and professionals. Dive into a variety of questions that cover important topics related to administrative and criminal statistics.
- 45 engaging multiple-choice questions
- Focus on legal frameworks and statistical methods
- Ideal for students and educators
มกแแกแฎแแแก แกแแแแ แแแแก แกแขแแขแแกแขแแแแจแ แแแแแแ แแแแแก แแ แแแฃแแ แจแแแซแแแแ แแงแแก:
ม)แแแแแชแแแก แแแแงแแคแแแแแ, แฅแแแแฅแแก แแ แ แแแแแแกแแ แแแฃแ แแขแฃแ แ;
ม) แกแแกแแแแ แแแแแแ แแ แกแแกแฏแแแแฆแกแฃแแแแแก แแแฌแแกแแแฃแแแแแแ
ม)แงแแแแ
ม) แแ แช แแ แแ แแแกแฃแฎแ แแ แแ แแก แกแฌแแ แ.
มกแแกแฎแแแก แกแแแแ แแแแก, แแแแแแแกแขแ แแชแแฃแแ แแ แกแแแแฅแแแแฅแ แกแแแแ แแแแก แกแขแแขแแกแขแแแ แแ แแก:
ม) แแฃแ แแแแฃแแ แกแขแแขแแกแขแแแแก แแแ แแแแ;
ม) แแฃแ แแแแฃแแ แกแขแแขแแกแขแแแแก แกแแฎแแแแ;
ม) แแฃแ แแแแฃแแ แกแขแแขแแกแขแแแแก แฅแแแแแแงแแคแแแแแแแ;
ม) แแฃแ แแแแฃแแ แกแขแแขแแกแขแแแแก แ แแแแแแ.
มแฃแ แแแแฃแแ แกแขแแขแแกแขแแแแก แแแแแแแก แแแแแฅแขแ แจแแแซแแแแ แแงแแก:
ม) แกแแกแฎแแแก แกแแแแ แแแแ;
ม) แกแแแแฅแแแแฅแ แกแแแแ แแแแ;
ม)แแแแแแแกแขแ แแชแแฃแแ แกแแแแ แแแแ;
ม)แงแแแแ
มกแแแแแแแชแแ แกแแกแแแแ แแแแก แแฃแจแแแแ แฎแแแคแแกแแก แแแแแชแแแแ แแแฎแแแแแ แแแแแแแ แแจแแแฃแแแ แแแ แแแชแแแก แแแแคแแชแแแแขแแ แจแแแแแแแ 30%, แฎแแแ แฎแแแคแแกแแแแ แกแแจแฃแแแ แแแแแ แแขแฃแแแ แแแแแฎแ แแ โ 6,8. แกแแจแฃแแแ แแ แแแแแขแแแฃแแ แขแแแ แแฅแแแแ:
ม)62.5;
ม) 22.7;
ม)250
ม)96.5
มแฃ แฅแแแงแแแก แแแกแจแขแแแแ แแกแฏแแแ แแแแฃแแแแ แแแฏแแฃแคแแแฃแแแ แกแฅแแกแแก แแแฎแแแแแ, แแแจแแ แแกแแแ แแแฏแแฃแคแแแ แแ แแก:
ม) แแแ แขแแแ แแแฏแแฃแคแแแ;
ม) แฏแแฃแคแฃแ แ แแแฏแแฃแคแแแ;
ม) แแแแแแแแชแแฃแ แ แแแฏแแฃแคแแแ;
ม) แแ แชแแ แแ แแแกแฃแฎแ แแ แแ แแก แกแฌแแ แ.
มฉแแแแแแแแแ แแแฏแแฃแคแแแแแแ แ แแแแแแแแ แแแแ:
ม)แแกแฏแแแ แแแแฃแแแ แแแฏแแฃแคแแแ แกแแชแแแแฃแ แ แกแขแแขแฃแกแแก แแแฎแแแแแ;
ม) แแกแฏแแแ แแแแฃแแแ แแแฏแแฃแคแแแ แกแฅแแกแแก แแแฎแแแแแ;
ม) แแกแฏแแแ แแแแฃแแแ แแแฏแแฃแคแแแ แแกแแแแก แแแฎแแแแแ;
ม)แแ แช แแ แแ แแแกแฃแฎแ แแ แแ แแก แกแฌแแ แ.
มกแขแแขแแกแขแแแฃแ แ แแ แแแแแแแแแก แแ แแแฃแแแ แแแแชแแแแแแแก แฎแแ แแกแฎแแก แแแฎแแแแแ แกแแกแฏแแแแฆแกแ แฃแแแแแก แแแฌแแกแแแฃแแแแแแจแ แแแแแแ แแแแ แจแแแซแแแแ แแงแแก:
ม) แแแแแแแ แแ แแ แแแแแแแแ;
ม) แฃแฌแงแแแขแ แแ แแแแแแแ แแแแแ;
ม) แจแแ แฉแแแแแ แแ แฃแจแฃแแแ;
ม) แ แแแแกแขแ แแชแแฃแแ แแ แ แแแ แแแแแขแแชแแฃแแ.
มกแแกแฎแแแก แกแแแแ แแแแก แกแขแแขแแกแขแแแ แแแแชแแแก:
ม) แกแแกแฎแแแก แกแแแแ แแแแก แฌแแ แแแแแแกแ แแ แแแแแฉแแแแก แแฆแกแ แฃแแแแแก แกแขแแขแแกแขแแแแก;
ม) แฌแแแแกแฌแแ แ แแแแฉแแแแแแก, แกแแกแฎแแแก แกแแแแ แแแแก แฌแแ แแแแแแก, แแแแแฉแแแแก แแฆแกแ แฃแแแแแก แกแขแแขแแกแขแแแแก;
ม) แกแแแแแ แกแแกแฎแแแก แกแแแแ แแแแก แฌแแ แแแแแแก, แแแแแฉแแแแก แแฆแกแ แฃแแแแแก แกแขแแขแแกแขแแแแก;
ม) แแ แชแแ แแ แแแกแฃแฎแ แแ แแ แแก แกแฌแแ แ.
มแ แแแแแแแแแแฃแ แ แกแขแแขแแกแขแแแ แจแแแกแฌแแแแแก:
ม) แแแแแแจแแแแแแแก แแ แแแกแ แแแแแแแแแก, แแแแแแจแแแแก แแแ แแแแแแแก แ แแแแแแแแ แแ แแแฎแแกแแแแแแแก แแ แแ แแคแแแแฅแขแแแฃแ แกแแฅแแแแแแแแก;
ม)แแแแแแจแแแแแแแก แแ แแแกแ แแแแแแแแแก, แแแแแแจแแแแก แแแ แแแแแแแก แแแแกแแแ แแ แแแฎแแกแแแแแแแก แแ แแ แแคแแแแฅแขแแแฃแ แกแแฅแแแแแแแแก;
ม)แแแแแแจแแแแแแแก แแ แแแกแ แแแแแแแแแก, แแแแแแจแแแแก แแแ แแแแแแแก แ แแแแแแแแ แแ แแแฎแแกแแแแแแแก;
ม) แแ แชแแ แแ แแแกแฃแฎแ แแ แแ แแก แกแฌแแ แ.
มแแแแจแแฃแแแก แแกแฎแแแ แแแแแก แแ แแแแแจแแฃแแแกแแแแ แแแแแ แแแแแฃแแแแก, แแแ แ แแแก แแแแแจแแฃแแแก แแแแแแแกแจแ แแแแกแแแฆแแ แแแก:
ม) แแแแแจแแฃแแแก แกแขแแขแแขแแแ;
ม) แแ แแแแแแแฃแ แ แกแขแแขแแกแขแแแ;
ม)แแแแแแ แฃแแ แกแขแแขแแขแแแ;
ม)แแ แชแแ แแ แแแกแฃแฎแ แแ แแ แกแฌแแ แ.
มแแแแแแกแขแ แแชแแฃแแ แกแขแแขแแกแขแแแ แแฌแแ แแแแแก:
ม) แแแแแแแกแขแ แแชแแฃแแ แกแแแแ แแแแแแ แฆแแแแแแแก แแฆแ แแชแฎแแแก แแแแ แกแแฎแแแแแแแก, แแแงแแแแแฃแแ แแแ แแแแก, แแแแแแแกแขแ แแชแแฃแแ แกแแฎแแแแแแแก แฎแแกแแแแแก, แแแแแแแกแขแ แแชแแฃแแ แแฃแ แแกแแแฅแชแแแก แแ แแแแแแแแก, แกแแฅแแแแ แกแแแแ แแแแฌแแ แแแแแแก แแแฎแแแแแ;
ม)แแแแแแแกแขแ แแชแแฃแแ แกแแแแ แแแแแแ แฆแแแแแแแก แแฆแ แแชแฎแแแก แแแแ แกแแฎแแแแแแแก, แแแงแแแแแฃแแ แแแ แแแแก, แแแแแแแกแขแ แแชแแฃแแ แกแแฎแแแแแแแก แฎแแกแแแแแก, แแแแแแแกแขแ แแชแแฃแแ แแฃแ แแกแแแฅแชแแแก แแ แแแแแแแแก, แแแแแแแกแขแ แแชแแฃแแ แกแแแแ แแแแฌแแ แแแแแแก แแแฎแแแแแ;
ม)แแแแแแแกแขแ แแชแแฃแแ แกแแแแ แแแแแแ แฆแแแแแแแก แแฆแ แแชแฎแแแก แแแงแแแแแฃแแ แแแ แแแแก, แแแแแแแกแขแ แแชแแฃแแ แกแแฎแแแแแแแก แฎแแกแแแแแก, แแแแแแแกแขแ แแชแแฃแแ แแฃแ แแก แแแฅแชแแแก แแ แแแแแแแแก, แแแแแแแกแขแ แแชแแฃแแ แกแแแแ แแแแฌแแ แแแแแแก แแแฎแแแแแ;
ม)แแ แชแแ แแ แแแกแฃแฎแ แแ แแ แกแฌแแ แ
มฉแแแแแแแแแ แแแฏแแฃแคแแแแแแ แกแขแ แฃแฅแขแฃแ แฃแแแ:
ม)แแแฏแแฃแคแแแ, แ แแแแแแช แแฎแแกแแแแแแก แแกแฏแแแ แแแแฃแแแ แจแแแแแแแแแแแแก แกแแกแฏแแแแก แแแแแแแก แแแฎแแแแแ;
ม)แแแฏแแฃแคแแแ, แ แแแแแแช แแฎแแกแแแแแแก แฅแฃแ แแแแแก แ แแชแฎแแแก แแแแแแแแแแฃแแแแแก แฃแแฃแจแแแ แแแแก แแแแแแ;
ม)แแแฏแแฃแคแแแ, แ แแแแแแช แแฎแแกแแแแแแก แแกแฏแแแ แแแแฃแแแ แแแแแฌแแแแแแก แแกแแแแกแ แแ แแฃแจแแแแแก แกแขแแแแก แแแฎแแแแแ;
ม)แแ แช แแ แแ แแแกแฃแฎแ แแ แแ แแก แกแฌแแ แ.
มแแแแแจแแแแแแแก แแแแคแแชแแแแขแ แแ แแก:
0%
0
ม)
0%
0
ม)
0%
0
ม)
0%
0
ม)
มแแ แแ แแแแแกแแ แแแแแ แแแแงแแ แแแฃแ แแแ แซแ แฎแแกแแแแแก แฅแแแแแ แแ, แกแแแฏแแฎแ แแ แแแ แแ แฃแ แแแแ แแแแแแก แแฆแ แแชแฎแแแก:
ม)แแแ แซแ แกแแแแ แแแแก แกแขแแขแแกแขแแแ;
ม)แแแแแแแกแขแ แแชแแฃแแ แกแขแแขแแกแขแแแ;
ม)แแแ แซแ แแแแแแแก แกแขแแขแแกแขแแแ;
ม)แแ แชแแ แแ แแแกแฃแฎแ แแ แแ แกแฌแแ แ
มแฃแ แแแแฃแ แกแขแแขแแกแขแแแแจแ แแแแแจแแฃแแแก แแแแแแแแแแแ แแแ แแแแแแแแ:
ม)แจแแแแแแแ, แแฃแแแแแแแแฅแแแแ แคแแฅแขแแ แแแแก แแแแแแแแ;
ม)แจแแแแแแแ, แแฃแแแแแแแแฅแแแแ แคแแฅแขแแ แแแแก แแแแแแแแ;
ม)แจแแแแแแแ, แจแแแแฎแแแแแแ แแ แแ แแแแแ แแแแฅแแแแ แคแแฅแขแแ แแแแก แแแแแแแแ;
แ)แแ แชแแ แแ แแแกแฃแฎแ แแ แแ แกแฌแแ แ
มแแแแ แแจแแแแ แแ แแก:
ม) แกแขแแขแแกแขแแแฃแ แ แแแแแแ แแแแแก แแแแแแ;
ม)แกแขแแขแแกแขแแแฃแ แ แแแแแแ แแแแแก แกแฃแแแแฅแขแ;
ม) แกแขแแขแแกแขแแแฃแ แ แแแแแแ แแแแแก แคแแ แแ;
ม)แแ แแกแ แฃแแ แแแแแแ แแแแแก แกแแฎแ
มแฃแ แแแแฃแ แกแขแแขแแกแขแแแแจแ แแแแแจแแฃแแแก แแแแแแแแแแแ แแแ แแแแแแแแ:
ม)แแแแแแ แแแแแก แแชแแ แ แ แแชแฎแแแก แแแ แแแแแจแ;
ม)แแแแแแ แแแแแก แกแแแแแ แแกแแ แแแแ แ แแชแฎแแแก แแแ แแแแแจแ;
ม) แแแแแแ แแแแแก แ แแชแฎแแก แแ แแฅแแก แแแแจแแแแแแแ;
ม)แแ แชแแ แแ แแแกแฃแฎแ แแ แแ แกแฌแแ แ
มแฃ 2021 แฌแแแก แกแแฅแแ แแแแแจแ แงแแแแ 100 แแแซแแแแแ แฅแแแแ แแแแแแแ 1200 แแแซแแแแแ แแแชแ, แแแจแแ แแก แจแแคแแ แแแแแแ แกแแแแแ แแ แแก:
ม)แแแแ แแแแแชแแแก;
แ)แแแแแแก แจแแกแ แฃแแแแแก
แ)แแแขแแแกแแแแแแก;
แ)แกแขแ แฃแฅแขแฃแ แแก.
มกแแฅแแ แแแแแแก แกแแฅแแแแฅแ แกแแกแแแแ แแแแก แแแแแชแแแแแแ 2020 แฌแแแก 2019 แฌแแแแแ แจแแแแ แแแแ แกแแกแฎแแแก แกแแแแ แแแแก แแแแแจแแฃแแ แฅแแแงแแแแจแ 3%โแแ, 2019 แฌแแแก 2018 แฌแแแแแ แจแแแแ แแแแ โ 10%โแแ, 2018 แฌแแแก 2017 แฌแแแแแ แจแแแแ แแแแ 5%-แแ แแแแแแ แแ. แจแแคแแ แแแแแแ แกแแแแแแก แ แแแแ แกแแฎแแก แแแแแฃแแแแแแ แแ แ แแแแแ แฌแแกแแก แแแฎแแแแแแแ แแแแแแแ แแจแแแฃแแ แแก แแแฉแแแแแแแแ:
ม) แแแแแแแแแก โ แกแแแแแแขแ แฌแแกแแ;
ม) แแแแแแแแแก โ แกแแแแแแกแ แฌแแกแแ;
ม)แแแแแแแแแก โ แแแขแแ แแแแฃแ แ แฌแแกแแ;
ม)แแแแแแแแแก โ แฏแแญแแฃแ แ แฌแแกแแ.

มแแชแแแฃแแ แคแแ แแฃแแแ แแแแแแแแ แแจแแแ:
ม)แแแขแแ แแแแฃแ แ แแแ แแแชแแฃแแ แแฌแแ แแแแก แแแแ;
ม)แแแกแแ แแขแฃแแ แแแ แแแชแแฃแแ แแฌแแ แแแแก แแแแ;
ม)แกแแแแแแแขแ แแแ แแแชแแฃแแ แแฌแแ แแแแก แแแแ;
ม)แแ แชแแ แแ แแแแแแแ.
มขแแแแแแแแฃแ แ แแแฏแแฃแคแแแ แแแแแแแกแฌแแแแแก:
ม)แจแแกแแกแฌแแแแ แแ แแแแแแแแแแแ แแ แแแแแ แแแแแ แฏแแฃแคแแแแก แแแแแงแแคแแก;
ม)แแ แแขแแแแฃแ แ แแ แแแแแแแแแก แแ แแแฃแแแ แแแแแฌแแแแแแก แ แแแแ แแแจแแแ;
ม)แแ แแแแแแแแแก แกแฎแแแแแกแฎแแ แแแจแแแก แจแแ แแก แฃแ แแแแ แแแแแแแแแแแฃแแแแแก แแกแแฎแแแก;
ม)แแ แแแแแ แแแแ แฏแแฃแคแแแก แจแแ แแก แฃแ แแแแ แแแแแแแแแแแฃแแแแแก แแกแแฎแแแก.

มแแชแแแฃแแ แคแแ แแฃแแ แแ แแก:
ม)แแแกแแแ แกแแ;
ม)แกแแจแฃแแแ แแแแแ แแขแฃแแ แแแแแฎแ แ;
ม)แฏแแฃแคแแแจแแ แแกแ แแแกแแแ แกแแ;
ม)แแ แชแแ แแ.
มแแแแแแก แกแแกแฏแแแแฆแกแ แฃแแแแแก แแแฌแแกแแแฃแแแแแจแ แงแแฉแแฆแแแแก แแฃแฎแแแ แแกแฏแแแ แแแแฃแแแแแก แแแแแฉแแแแ แแแแแแแแกแฌแแแแแฃแแ แแแแแกแฃแคแแแแแก แแฆแแแแแแก แกแแจแฃแแแ แแแแแแแ แแกแฏแแแ แแแแฃแแแแแก แฌแแแแแก แแแแแฎแ แแก แแแกแแแฃแขแฃแ แ แกแแแแแแแแแก แกแแจแฃแแแ แแ แแแแแขแแแฃแแ แแ แแก:
ม)แกแแจแฃแแแ แแแแแ แแขแฃแแ แแแแแฎแ แ;
ม)แแแกแแแ แกแแ;
ม)แกแแจแฃแแแ แฌแ แคแแแ แแแแแฎแ แ;
แ)แแแ แแแชแแแก แแแแแแแแแแก แกแแจแฃแแแ.
มแฃ แแฃแ แแแก แ แแแแแแแก แแแกแแฎแแแแแแก แ แแชแฎแแ 2021 แฌแแแก แจแแแแแแแแ 105,3 แแแแกแก, แฎแแแ แฅแฃแ แแแแแก แแฃแฎแแแ แแแกแแแแ แแแแแฃแแ แแงแ 900 แแแชแ,แแแจแแ แแแขแแแกแแแแแแก แจแแคแแ แแแแแแ แกแแแแแ แงแแแแ 1000 แแแชแแ แขแแแแ:
ม)470, 3;
ม)8,5;
ม)3,1;
ม)1,5.
2022 แฌแแแก แแแแแแกแแก แกแแฅแแแแฅแ แกแแกแแแแ แแแแ แแแแแฎแแแ 1589 แกแแกแฎแแแก แกแแแแ แแแแก แกแแฅแแ, แแแ แจแแ แแก แแฎแแ แแแ แแแแแฌแแแแก แฌแแ แแแแแแแแแ 900 แแแแแแแชแ แแ 659 แฅแแแ. แแแแ แแแแแชแแแก แจแแคแแ แแแแแแ แกแแแแแ แขแแแแ:
ม)0,6;
ม)1,8;
ม)1,4;
ม) 2,0.
มกแแกแฏแแแแฆแกแ แฃแแแแแก แแ-16 แแแฌแแกแแแแแแแจแ (แกแแแแแแแงแแคแแจแ) แแแกแแฅแแแแฃแแแ แฎแแแคแแกแแก แแแฅแกแแแแแฃแ แ แกแแแแแ 1800 แแแ แแ, แฎแแแ แแแแแแแแฃแ แ 400, แฎแแแคแแกแแก แแแแแแแแแ แขแแแแ:
ม)400;
ม)1800;
ม)4.5;
ม)1400.
2020 แฌแแแก แแแ แแแแ แแแแ แขแแแก แแแแแชแแแแ แแแฎแแแแแ แแกแฏแแแ แแแแฃแแแแแก แแแแแกแฃแคแแแแแก แแฆแแแแแแก แแแแแก แแแ แแแชแแแก แแแแคแแชแแแแขแแ แจแแแแแแแ 50%, แแแกแแแ แกแแแ 2,25, แแแจแแ แแแแแกแฃแคแแแแแก แแฆแแแแแแก แกแแจแฃแแแ แแแแ แขแแแแ:
ม)3;
ม)2;
ม)2.5;
ม)4,2.
ม แแแแแแแแ แแแ แแฃแ แแแแฃแแ แแแแแแแแแแก แงแแแแแแฎแ แแแ แแแแกแแแ แแแ แแแแแแแ แแแแแแงแแแแแ:
ม)แกแขแแขแแกแขแแแฃแ แ แแแแแแแแแแแก แงแแแแ แแขแแแแ;
ม) แกแขแแขแแกแขแแแฃแ แ แแแแแแแแแแแก แแแ แแแ แแ แแแแ แ แแขแแแแ;
ม) แกแขแแขแแกแขแแแฃแ แ แแแแแแแแก แแขแแแแ;
ม)แแ แช แแ แแ แแแกแฃแฎแ แแ แแ แแก แกแฌแแ แ.
มแ แแแแ (แแแแแแแแฃแ แ) แแฌแแ แแแแก แแฅแกแขแ แแแแแแชแแ แแ แแก:
ม)แแฌแแ แแแแก แจแแแแแ แแ แกแแแฃแแ แฃแชแแแแ แแแแแก แแแแแแแ แแจแแแ
ม)แแฌแแ แแแแก แกแแฌแงแแกแ แแ แแแแ แแแแแแแแก แแแแแแแ แแจแแแ
ม)แแฌแแ แแแแก แกแแฌแงแแกแ แแ แแแแ แแแแแแแแก แกแแจแฃแแแแก แแแแแแแ แแจแแแ
ม)แแฌแแ แแแแก แแแ แแ แแ แกแแแฃแแ แฃแชแแแแ แแแแแก แแแแแแแ แแจแแแ

มแแชแแแฃแแ แคแแ แแฃแแ แแ แแก:
ม)แแแ แแแแชแแแก แฌแ แคแแแ แแแแคแแชแแแแขแ;
ม)แจแแ แแฃแแ แแแ แแแแชแแแก แแแแคแแชแแแแขแ;
ม)แแแ แแแแแฃแ แ แแแ แแแแชแแแก แแแแคแแชแแแแขแ;
ม)แแ แชแแ แแ
มแแ แแแแชแแฃแ แ แแแแจแแ แแก แแ แแก แแแแแแแแ แแแ แคแแฅแขแแ แแก แชแแแแแแแแแแ :
ม)แแฌแแแแก แกแแจแแแแแ แแแแแแแแก แชแแแแแแแแแแแก แงแแแแแแแแก แแ แงแแแแ แแแ แแแแแจแ;
ม)แแฌแแแแก แกแแจแแแแแ แแแแแแแแก แชแแแแแแแแแแแก แแแแแแแแแฃแ แ แแแแฃแกแแแฆแแ แแแแแแก แแ แแก;
ม)แแฌแแแแก แกแแจแแแแแ แแแแแแแแก แชแแแแแแแแแแแก แแแแแแ แแแแแก แแแแ แ แแชแฎแแแก แแแ แแแแแจแ;
ม)แแ แชแแ แแ แแแกแฃแฎแ แแ แแ แแก แกแฌแแ แ

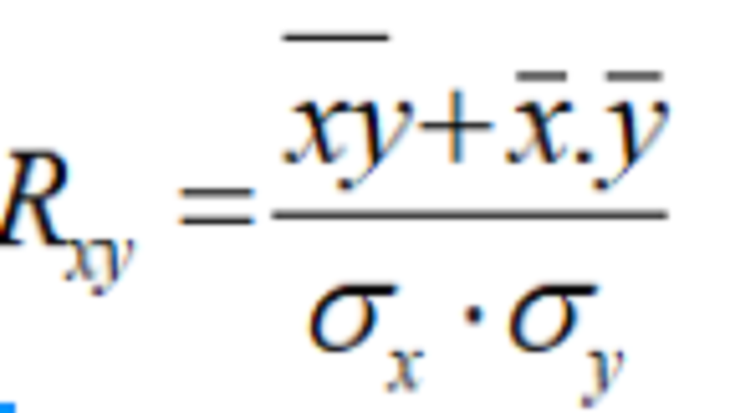
มฃแแฃแจแแแ แแแแก แแ แแแกแ (x) แแ แแแแแจแแฃแแแก แแ แแแก (y) แจแแ แแก แแแ แแแแชแแฃแ แ แฃแ แแแแ แแแแแจแแ แแก แกแแแญแแแ แแแแก แฎแแ แแกแฎแแก แแแฃ แแแ แแแแชแแแก แฌแ แคแแแ แแแแคแแชแแแแขแแก แแแกแแแแแแ แแจแแแแแ แแแแฅแแก (แแฎแแแแ แกแฃแ แแแ): แแแ แแแแชแแแก แฌแ แคแแแ แแแแคแแชแแแแขแ แจแแแแแแแก:
ม)0,74;
ม)0,81;
ม)0,64;
ม)0,29
มแแชแแแฃแแแ 2014-2021 แฌแแแแแก แแแฎแแแแแ แฃแแแแแแก แกแแกแแแแ แแแแจแ แแแแฎแแแฃแแ แกแแแแแแแชแแ แกแแฅแแแแแแก แ แแแแแแแแแก แจแแแแแแ แแแแแชแแแแแ (แแแแกแ.): 3; 4; 5; 6; 8; 7; 8; 11. แกแแแฌแแแ แแแแ แกแ แแแแ แกแแจแฃแแแแแ แแแกแฌแแ แแแฃแแ แแแแแแแแฃแ แ แแฌแแ แแแแก แแแกแแแ แแแแ แแฅแแแแ:
ม)8.0;
ม)6.3;
ม)6.8;
ม)5.0

มแแแแแแแ แแแแแแแกแขแ แแชแแฃแ แกแแฅแแแแ แ แแแแแแแแแก แแ แแแแแแ 2025 แฌแแแกแแแแแก แกแแจแฃแแแ แแแกแแแฃแขแฃแ แ แแแขแแแแก แกแแคแฃแซแแแแแ. แแฃ แแแชแแแฃแแ แแแแฅแก แแแ แแแแกแขแ แแ แแแฃแ แกแแฅแแแแ แจแแแแแแ แแแแแชแแแแแ (แแแแกแ)
ม)7
ม)9
ม)12
ม)11.3
มแแแแแแแแแ แแแแแแแกแขแ แแชแแฃแ แกแแฅแแแแ แ แแแแแแแแแก แกแแจแฃแแแ แแแกแแแฃแขแฃแ แ แแแขแแแ, แแฃ แแแชแแแฃแแ แแแแฅแก แแแ แแแแกแขแ แแ แแแฃแ แกแแฅแแแแ แจแแแแแแ แแแแแชแแแแแ (แแแแกแ)
ม)0,83;
ม)0,71
ม)0,28;
ม)0,35
มแแชแแแฃแแแ, แ แแ 2015 แฌแแแก แแแ แแแ แแแแแแ แก แกแแฅแแ แแแแแแจแ แแแคแแฅแกแแ แแ 4 แแแแกแ แแแขแแกแแแแแ แจแแแฎแแแแ , 2016 แฌแแแก แแแ แแแแ แแแแแ แแกแแแแแก แแแกแ แ แแชแฎแแ แแแฎแแ 4,2 แแแแกแ, 2017 แฌแแแก แแแ แแแ แแแแแแ แก แแแแ แ แแชแฎแแ แแงแ แฃแแแ 5 แแแแกแ, 2018 แฌแแแก แแแ แแแแ แแแแแ แแกแแแแแก 5,2 แแแแกแ., 2019 แฌแแแก แแแ แแแ แแแแแแ แก แแ 5,5 แแแแกแ. 2015-2019 แฌแแแแจแ แแแขแแกแแแแแ แจแแแแฎแแแแแแแก แกแแจแฃแแแ แ แแชแฎแแ แขแแแแ:
ม)5,2(แแแแแแแแ แแจแแแ แกแแจแฃแแแ แแ แแแแแขแแแฃแแแ);
ม)5,0 (แแแแแแแแ แแจแแแ แกแแจแฃแแแ แฅแ แแแแแแแแฃแ แแ);
ม)4,8 (แแแแแแแแ แแจแแแ แกแแจแฃแแแ แฅแ แแแแแแแแฃแ แแ)
ม)4,8(แแแแแแแแ แแจแแแ แกแแจแฃแแแ แแ แแแแแขแแแฃแแแ).

มแแแชแแแ - แแแชแแแฃแแ แแแแฅแก แแแแแฉแแแแก แแแฎแแแแแ แแกแฏแแแ แแแแฃแแแ แกแแกแฏแแแแก แแแแแก แจแแแแแแ แแแแแชแแแแแ (แฌแแแ) 2019 แฌแแแก แฏแแญแแฃแ แ แแแแแแแ แแแแแแแ แแจแแแฃแแ แแ แแแก แขแแแแ แขแแแแ:
ม)150%
ม)200%;
ม)50%
ม)แแ แช แแ แแ แแแกแฃแฎแ แแ แแ แแก แกแฌแแ แ.

มแแชแแแ - แแแชแแแฃแแ แแแแฅแก แแแแแฉแแแแก แแแฎแแแแแ แแกแฏแแแ แแแแฃแแแ แกแแกแฏแแแแก แแแแแก แจแแแแแแ แแแแแชแแแแแ (แฌแแแ) แกแแจแฃแแแ แฌแแแฃแ แ แแ แแแก แขแแแแ แแฅแแแแ:
ม)150%
ม)200%;
ม)100.9%
ม)แแ แช แแ แแ แแแกแฃแฎแ แแ แแ แแก แกแฌแแ แ.
มกแแแแแแกแ แแแแแแแ แแ แแแก แขแแแแ แแแแแแแแแแแ:
0%
0
ม)
0%
0
ม)
0%
0
ม)
0%
0
ม)
มฏแแญแแฃแ แ แแแแแแแ แแ แแแก แขแแแแ แแแแแแแแแแแ:
0%
0
ม)
0%
0
ม)
0%
0
ม)
0%
0
มแกแฏแแแ แแแแแแแแก แแแแแก แซแแ แแแแแ แขแแแแแแชแแแก แแแแแกแแแแแแแ แแงแแแแแแ:
ม)แกแแแแแฃแ แแแแก แแแแแฅแกแแแก
ม)แฅแ แแแแแแแแฃแ แกแแจแฃแแแแแแก;
ม)แแ แแแก แกแแจแฃแแแ แขแแแแแก แแแแคแแชแแแแขแก
ม)แแ แชแแ แแก
มแแขแแแแก 1%-แแก แแแกแแแฃแขแฃแ แ แแแแจแแแแแแแ แแแแฆแแแ:
ม)แแแกแแแฃแขแฃแ แ แแแขแแแแก แแแแ แแแแแแแ แแแขแแแแก แขแแแแแก แจแแแ แฃแแแแฃแ แกแแแแแแแ;
ม)แแแกแแแฃแขแฃแ แ แแแขแแแแก แจแแคแแ แแแแแ แแแขแแแแก แขแแแแแแ;
ม)แแแขแแแแก แขแแแแแก แจแแคแแ แแแแแ แแแกแแแฃแขแฃแ แแแขแแแแกแแแ;
ม)แแแกแแแฃแขแฃแ แ แแแขแแแแก แจแแคแแ แแแแแ แแ แแแก แขแแแแแแ.

มแแชแแแฃแแ แคแแ แแฃแแ แแ แแก:
ม)แฅแ แแแแแแแแฃแ แ แกแแจแฃแแแ;
ม)แฐแแ แแแแแฃแแ แกแแจแฃแแแ;
ม)แกแ แแแแ แกแแจแฃแแแ;
ม)แแ แชแแ แแ
มกแแฅแแแก แฌแแแแกแฌแแ แ แซแแแแแก แแ แแชแแกแจแ แแ แแฃแแแแขแแ แแแฃแแ แแขแแแชแแแฃแแแแแก แจแแแชแแ แแแ แแฌแแแแก แแแแแจแแฃแแแก แแฃแฎแแแก แแแฎแแแแแ แกแแกแฏแแแแก แแแแแก แแแแแแแแแก. แแแ แแแแชแแฃแ แ แแแแจแแ แแก แกแแฎแแแแแ:
ม)แแแ แแแแแ แ แแแแจแแ แ;
ม)แแ แแแ แแแแจแแ แ;
ม)แฃแแฃแแแแจแแ แ;
ม)แกแขแแชแแแแแฃแ แ.

มแแชแแแฃแแ แคแแ แแฃแแ แแ แแก
ม)แฐแแ แแแแแฃแแ แกแแจแฃแแแ;
ม)แฅแ แแแแแแแแฃแ แ แกแแจแฃแแแ;
ม)แกแ แแแแ แกแแจแฃแแแ;
ม)แแ แชแแ แแ แแแแแแแ.
{"name":"มแฃแ แแแแฃแแ แกแขแแขแแกแขแแแ II แแแ แแแแขแ", "url":"https://www.quiz-maker.com/QPREVIEW","txt":"Test your knowledge on legal statistics with our comprehensive quiz designed specifically for law students and professionals. Dive into a variety of questions that cover important topics related to administrative and criminal statistics.45 engaging multiple-choice questionsFocus on legal frameworks and statistical methodsIdeal for students and educators","img":"https:/images/course5.png"}
More Quizzes
มกแขแแขแแกแขแแแ
1050
Statistical Knowledge Quiz
15862
Physics and chemistry exam
1587
มฎแแ แแฃ แแ แ แแแแฅแแกแ แแแแกแแแแ แญแแแแแแ?
1050
US Festivals - Test Your Knowledge Free
201015759
ASE S1 School Bus Practice Test - Body Systems & Equipment
201015803
Math and Science - Test Your Skills (Free)
201016500
Plane: Which Plane Are You? Free Results
201015263
Personal Business Letter Format & Unbound Report - Free
201015589
Business Administration Level 3 Practice Test - Free
201014599
Nickname: Which Funny Name Fits Your Friend?
201015032
Telemetry - Free EKG Rhythm Practice Test
201016306