[Placement] SIIT Scholarship (OSP Math)
(20 questions; 25 minutes)
Directions: Choose the best answer. If you are not sure about the concept, please select “(E) I don’t really know” in each question.
Press "Next" to start.
(20 questions; 25 minutes)
Directions: Choose the best answer. If you are not sure about the concept, please select “(E) I don’t really know” in each question.
Press "Next" to start.

(A) 62.7
(B) 77.6
(C) 279.5
(D) 625
(E) 1397.5
(F) I don’t really know

(A) 0.25
(B) 0.50
(C) 1
(D) 1.25
(E) 2.5
(F) I don’t really know

(A)
(B)
(C)
(D)
(E)
(F)

(A) Right 1 unit and up 3 units
(B) Right 2 units and up 3 units
(C) Right 2 units and up 4 units
(D) Left 1 unit and up 3 units
(E) Left 2 units and up 4 units
(F) I don’t really know

(A) 7
(B) 15
(C) 17
(D) 23
(E) 27
(F) I don’t really know

(A)
(B)
(C)
(D)
(E)
(F)

(A) x = 0 and y = 0
(B) x = 1 and y = 0
(C) x = 2 and y = 1
(D) x = 3 and y = 1
(E) x = 4 and y = 2
(F) I don’t really know

(A)
(B)
(C)
(D)
(E)
(F)

(A) I. only
(B) II. only
(C) III. only
(D) I. and II. only
(E) II. and III. only
(F) I don’t really know

(A)
(B)
(C)
(D)
(E)
(F)

(A)
(B)
(C)
(D)
(E)
(F)
12. Which of the following is the graph of a line passing through the origin and parallel to y = 3x - 2?
(A) 3x + y = 0
(B) 3x - y = 0
(C) -3x - y = 1
(D) -3x + y = 1
(E) 3x - 2y = 0
(F) I don’t really know

(A) (2,-3)
(B) (3,-3)
(C) (-3, 2)
(D) (2, 6)
(E) (-2, 3)
(F) I don’t really know

(A)
(B)
(C)
(D)
(E)
(F)

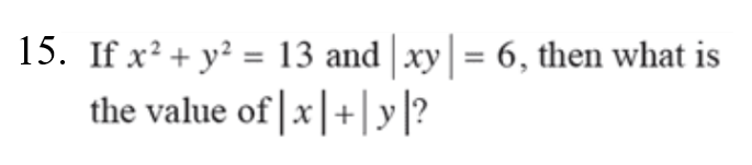
(A) 2
(B) 3
(C) 5
(D) 7
(E) 8
(F) I don’t really know
16. In a family with parents and two kids, they want to stand in a row to take a photo. If parents do not want to stand next to each other, how many ways to arrange them to take a photo?
(A) 2
(B) 3
(C) 6
(D) 12
(E) 24
(F) I don’t really know

(A)
(B)
(C)
(D)
(E)
(F)

(A)
(B)
(C)
(D)
(E)
(F)

(A)
(B)
(C)
(D)
(E)
(F)

(A) A
(B) B
(C) C
(D) D
(E) E
(F) I don’t really know
{"name":"[Placement] SIIT Scholarship (OSP Math)", "url":"https://www.quiz-maker.com/QECFGC4SV","txt":"First Name:, Last Name:, Email:","img":"https://www.quiz-maker.com/3012/images/ogquiz.png"}