Placement Test AS Level Math V01
1) Solve the simultaneous equations

𝑥 = −5, 𝑦 = 2 𝑎𝑛𝑑 𝑥 = −7, 𝑦 = −16
𝑥 = −5, 𝑦 = 2 𝑎𝑛𝑑 𝑥 = 7, 𝑦 = −16
𝑥 = 5, 𝑦 = −2 𝑎𝑛𝑑 𝑥 = −7, 𝑦 = −16
𝑥 = 5, 𝑦 = −2 𝑎𝑛𝑑 𝑥 = 7, 𝑦 = −16
2) Find the equation of a line that passes through the points (-2, 3) and (3, 7), giving your answer in the form 𝑎𝑥 + 𝑏𝑦 + 𝑐 = 0, what is number of 𝑎 + 𝑏 + 𝑐.
19
20
21
22
3) The canopy of a parachute and the outermost connecting cords form a sector of a
circle as shown in the diagram below, with the parachutist modelled as a particle at
point 𝑂.
circle as shown in the diagram below, with the parachutist modelled as a particle at
point 𝑂.
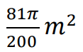
The area of the sector 𝑂𝐵𝐴 is 
Find the length of one of the connecting cords on the parachute.
1.1
1.5
1.8
3.2
4) For each of the following, find
in terms of x
𝑦 = (2𝑥 + 3)(3𝑥 − 1)
12𝑥 + 7
2𝑥 + 3
12𝑥 + 4
2𝑥 − 5
5) Given 𝑦 = 2𝑡2+ 𝑡
− 3t-4, find ∫ 𝑦 dt




6) The first term of a geometric series is 𝑎, and its common ratio is 5. A different geometric series has first term 𝑏 and common ratio 3. The sum of the first three terms of both series is the same.
Find the value of
, giving your answer as a fraction in simplest terms.
Find the value of
12/21
13/31
14/41
15/51
7) The sum of solutions of 22𝑥 − 24(2𝑥) + 128 = 0
7
8
9
10
8. Solve the equation
Giving your answer correct to 3 significant figures.2.88
3.42
3.59
5.94
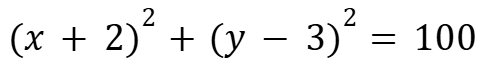
9. A circle C has centre (-2,3) and passes through the point P(6,-3).
Find an equation for the circle C.



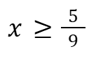
10. Find the values of x for which f(x)=-9x2+5x-3 is an increasing fun




- The first three terms in an arithmetic sequence are (p-9), -7, (9-3p) ,...
Find the value of p.
3
5
7
9
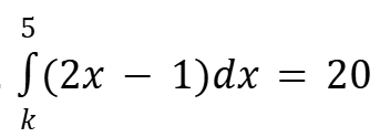
12. 

Find the value of the positive constant k.
1
2
3
4
{"name":"Placement Test AS Level Math V01", "url":"https://www.quiz-maker.com/QL5DOFK7M","txt":"Name:, Surname:, Email:","img":"https://www.quiz-maker.com/3012/images/ogquiz.png"}