Placement Test A2 Level Math V01

Name:
Surname:
Email:
Phone:
School:
1) The function 𝑓(𝑥) is defined as
            𝑓(𝑥) = 𝑥2 − 4        𝑥 ≥ 0
What is the range of 𝑓(𝑥) 
 
 
{𝑦 | 𝑦 > −4}
{𝑦 | 𝑦 ≥ −4}
{𝑦 | 𝑦 < −4}
{𝑦 | 𝑦 ≤ −4}
2) Use appropriate double angle formulae to solve sum of solutions of the following equations in the given
 
intervals.
No2.PNG
 
0
No2B.PNG
No2C.PNG
No2D.PNG
3) Integrate
No3.PNG
4) Find the first three terms, in ascending power of 𝑥, in the binomial expansion of

 
5) A curve 𝐶 has parametric equations
𝑥 = 2𝑡 − 1, 𝑦 = 4𝑡2 + 3
Find a Cartesian equation for the curve 𝐶 in the form 𝑦 = 𝑓(𝑥)
𝑦 = 𝑥2 − 2𝑥 − 4
𝑦 = 3𝑥2 + 2𝑥 − 2
𝑦 = 𝑥2 + 2𝑥 + 4
𝑦 = 3𝑥2 − 2𝑥 + 2
6) The point 𝐴 lies on the line with equation 𝑦 = 3𝑥 + 5. The position vector of 𝐴 is
No6.PNG. Find the value of 𝑘, and hence determine the coordinates of 𝐴.
𝑘 = 5 𝑎𝑛𝑑 𝐴(10,35)
𝑘 = 5 𝑎𝑛𝑑 𝐴(5,25)
𝑘 = 7 𝑎𝑛𝑑 𝐴(10,35)
𝑘 = 7 𝑎𝑛𝑑 𝐴(10,35)
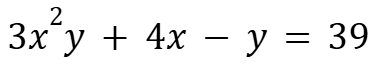
7. Solve the equation 
Screenshot 2025-05-07 141616.png
Screenshot 2025-05-07 141641.png
Screenshot 2025-05-07 141725.png
Screenshot 2025-05-07 141804.png
Screenshot 2025-05-07 141836.png
8. Which following is equivalent to
Screenshot 2025-05-07 142041.png
Screenshot 2025-05-07 142136.png
Screenshot 2025-05-07 142200.png
Screenshot 2025-05-07 142251.png
Screenshot 2025-05-07 142332.png
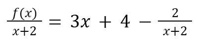
9. It is given that
Screenshot 2025-05-07 142459.png
Find f(x)
Screenshot 2025-05-07 142550.png
Screenshot 2025-05-07 142616.png
Screenshot 2025-05-07 142651.png
Screenshot 2025-05-07 142721.png
10. In the expansion of  Screenshot 2025-05-07 143333.png where n is a negative integer, the coefficient of the term in  Screenshot 2025-05-07 143427.png
-5
-4
-3
-2
11. Find the gradient of the curve with equationScreenshot 2025-05-07 143627.png
at the point with coordinates (2,3).
Screenshot 2025-05-07 143726.png
Screenshot 2025-05-07 143808.png
Screenshot 2025-05-07 143852.png
Screenshot 2025-05-07 143933.png
12. Find the equation of line in vector form that through (2,0,7) and (5,2,-3)
Screenshot 2025-05-07 144135.png
Screenshot 2025-05-07 144209.png
Screenshot 2025-05-07 144232.png
Screenshot 2025-05-07 144318.png
{"name":"Placement Test A2 Level Math V01", "url":"https://www.quiz-maker.com/QPZBV9YK7","txt":"Name:, Surname:, Email:","img":"https://www.quiz-maker.com/3012/images/ogquiz.png"}
Powered by: Quiz Maker