Placement test IGCSE Math V01
1) Niran is organising a baking competition and needs to buy 9.25 kilograms of flour.
Flour is sold in bags that each contain 750 grams of flour.
Each of these bags costs 58 Baht.
Niran can only buy whole bags of flour.
Niran buys the least number of bags of flour that he needs.
What is the cost of the flour that he buys.
Flour is sold in bags that each contain 750 grams of flour.
Each of these bags costs 58 Baht.
Niran can only buy whole bags of flour.
Niran buys the least number of bags of flour that he needs.
What is the cost of the flour that he buys.
72 baht
116 baht
715 baht
754 baht
2) a) Simplify 6a × 2c
b) Simplify 4d + 3e + d - 5e
c) Solve 4x - 7 = 23
a) 12ac
b) 5d - 2e
c) x = 7.5
b) 5d - 2e
c) x = 7.5
a) 8ac
b) 5d - 2e
c) x = 7.5
b) 5d - 2e
c) x = 7.5
a) 12ac
b) 5d + 2e
c) x = 4
b) 5d + 2e
c) x = 4
a) 12ac
b) 5d + 2e
c) x = 7.5
b) 5d + 2e
c) x = 7.5
3) Bill buys and sells laptops.
Last month Bill bought 50 laptops.
He paid £400 for each laptop.
He sold
40 of these laptops at a profit of 30% on each laptop
10 of these laptops at a profit of 15% on each laptop
Bill's target last month was to sell all 50 laptops for a total of at least £25,000
Did Bill reach this target and how much profit or loss?
Last month Bill bought 50 laptops.
He paid £400 for each laptop.
He sold
40 of these laptops at a profit of 30% on each laptop
10 of these laptops at a profit of 15% on each laptop
Bill's target last month was to sell all 50 laptops for a total of at least £25,000
Did Bill reach this target and how much profit or loss?
He did, profit = £6,000
He did, profit = £5,400
He did not, loss = £7,000
He did not, loss = £3,000
4) Here is a diagram showing a rectangle,
ABCD, and a circle.
BC is a diameter of the circle.
Calculate the percentage of the area of the rectangle that is shaded.
Give your answer correct to 1 decimal place.
BC is a diameter of the circle.
Calculate the percentage of the area of the rectangle that is shaded.
Give your answer correct to 1 decimal place.
23%
34%
67%
88%
5) There are 9 counters in a bag.
7 of the counters are green.
2 of the counters are blue.
Ria takes at random two counters from the bag.
Work out the probability that Ria takes one counter of each colour.
7 of the counters are green.
2 of the counters are blue.
Ria takes at random two counters from the bag.
Work out the probability that Ria takes one counter of each colour.
1/72
1/4
7/36
7/18
6) Jenny has six cards. Each card has a whole number written on it so that
the smallest number is 5
the largest number is 24
the median of the six numbers is 14
the mode of the six numbers is 8
Jenny arranges her cards so that the numbers are in order of size.
the smallest number is 5
the largest number is 24
the median of the six numbers is 14
the mode of the six numbers is 8
Jenny arranges her cards so that the numbers are in order of size.
What are possible numbers that is next to 24?
22, 23
23, 24
20, 21, 22
21, 22, 23
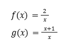
7) Which is the differentiation of 





Rotation 180 about the center (3,3)
Rotation 180 about the center (3,4)
Rotation 180 about the center (4,3)
Rotation 180 about the center (4,4)
9. The sum of the first N terms of an arithmetic series, S, is 292
The 2nd term of S is 8.5
The 5th term of S is 8.5
Find the value of N
The 2nd term of S is 8.5
The 5th term of S is 8.5
Find the value of N
15
16
17
18

10. What is a which gf(a)=3.
1
2
4
8
11. ABC is a triangle.


AC = 8.4 m
Angle ACB = 40
The area of the triangle = 100m2.
Find the length of AB correct to 3 significant figures.31.1 m
31.2 m
37.0 m
37.1 m
12. The diagram shows a triangle.

In the diagram, all the measurements are in metres.
The perimeter of the triangle is 56 m.
The area of the triangle is A m2.
Find the value of A.76
81
84
90
{"name":"Placement test IGCSE Math V01", "url":"https://www.quiz-maker.com/QWLZ90EAK","txt":"Name:, Surname:, Email:","img":"https://www.quiz-maker.com/3012/images/ogquiz.png"}